台灣現在是完全自由開放的社會,只要不違法,大家可以隨心所欲做想做的事。不過在國民黨戒嚴統治時期,很多現在看來理所當然的事,當時統統都不准做。例如現在青年參政蔚為風潮,隨時可見學生投入選戰,更屢見公職人員在職進修。不過在整整上個世紀,學生都不得成為公職候選人。

國民黨所繼承的中國傳統社會,向來就有論資排輩、歧視年輕人的傳統。加上孫文曾經明白指出,公務人員、青年學生、黨員、在職軍人不應享有完全的自由權利。而當年國民黨會徹底丟失在中國的政權,有很大的因素是由學生發起之學潮,不斷挑戰國民黨統治的正當性。
因此,國民黨政權敗退至台灣以後,就非常注意並極力防堵學生勢力的擴張。
當時,中央並沒有規範選舉的法律,只有省、市政府按各項選舉分別訂定的「選舉罷免規程」,屬於法規命令層級。而無論什麼層級的選舉,均明定在學肄業生,不得成為候選人;不僅不能擔任候選人,學生也被嚴禁從事助選活動。
1964年就有位東吳政治系四年級學生曾金四登記參選台北市議員。當時的選委會決議,除非他在抽籤決定號次前辦理退學,否則將撤銷其候選資格。

但這樣的規定是否也包括夜間部、補習學校學生?內政部在1967年12月認定,夜間部、補校學生都具有學籍,不得成為候選人;但沒有學籍的補習班學生並不受限制。
由於不少省議員,縣市議員當選後,仍想報考夜間部,取得較高的學歷。例如縣市議員想參選省議員,就須具備高中學歷;省議員想參選縣市長,就要有大專學歷。因此在台灣省議會的強烈要求下,台灣省政府於1976年修正6項地方自治法規,將學生不得為候選人的規定,排除掉夜間部、補校學生;但隨遭到行政院以學生應專心向學為由,予以退回,維持原狀。
直到1980年,政府終於想把各項「選舉罷免規程」整併為「動員戡亂時期公職人員選舉罷免法」,用法律位階規範所有層級的選舉。
包括康寧祥、黃順興、許世賢等黨外立委呼籲,應取消對學生參選資格的限制;但因其人數未達提案門檻,所以只能提出僅具新聞效果的「試擬案」。
不過立法院所舉辦的公聽會,也有多位地方基層公職人員建議,應開放研究所夜間部、補校學生的參選權。國民黨中常會也決議,開放博士班研究生、空中補校、在職訓練學生的參選權。
只是最後三讀通過的「動員戡亂時期公職人員選舉罷免法」,仍禁止學生參選。
然而,在1980年底的大選,包括監委朱安雄、立委黃志達、高雄縣長蔡明耀等14人,都在選前辦理「退學」,順利登記參選,選後再辦理「復學」,以鑽漏洞的方式保有參選資格並恢復學生身分。
監察院則於事後,以「大學法」僅規定「休學」後可「復學」,未規定「退學」後可「復學」;糾正替這些公職人員大開方便之門的教育部。
黨外的監委尤清、立委張德銘,多位公法學者也紛以西方國家未限制學生參選、助選為由,質疑相關禁令已違憲法的平等原則。
直到1988年底修正「動員戡亂時期公職人員選舉罷免法」時,行政院版草案才稍加放寬,當選公職後再進修者,只要辦理休學,就能保有參選資格。不過立法院審查時再進一步放寬,只要當選公職後再進修者,都能保有參選資格。
儘管台灣已經解嚴,放寬學生參選資格的呼聲不斷,但國民黨政府始終不為所動。也因此,國民黨規劃的台東縣國代候選人楊荊生,在1991年選前遭檢舉具有博士生身分;國民黨緊急要求楊荊生宣布退選,中選會也只好在選票都印妥後,公告撤銷其參選資格。

行政院一直要等到1997年底,才提出不限制學生參選資格的修正草案,政黨輪替後的民進黨政府也在2000年底提出不限制學生參選資格的修正草案。但都因「公職人員選舉罷免法」結構龐雜,朝野對其他條文仍有不同意見,而遲遲未能完成修法。
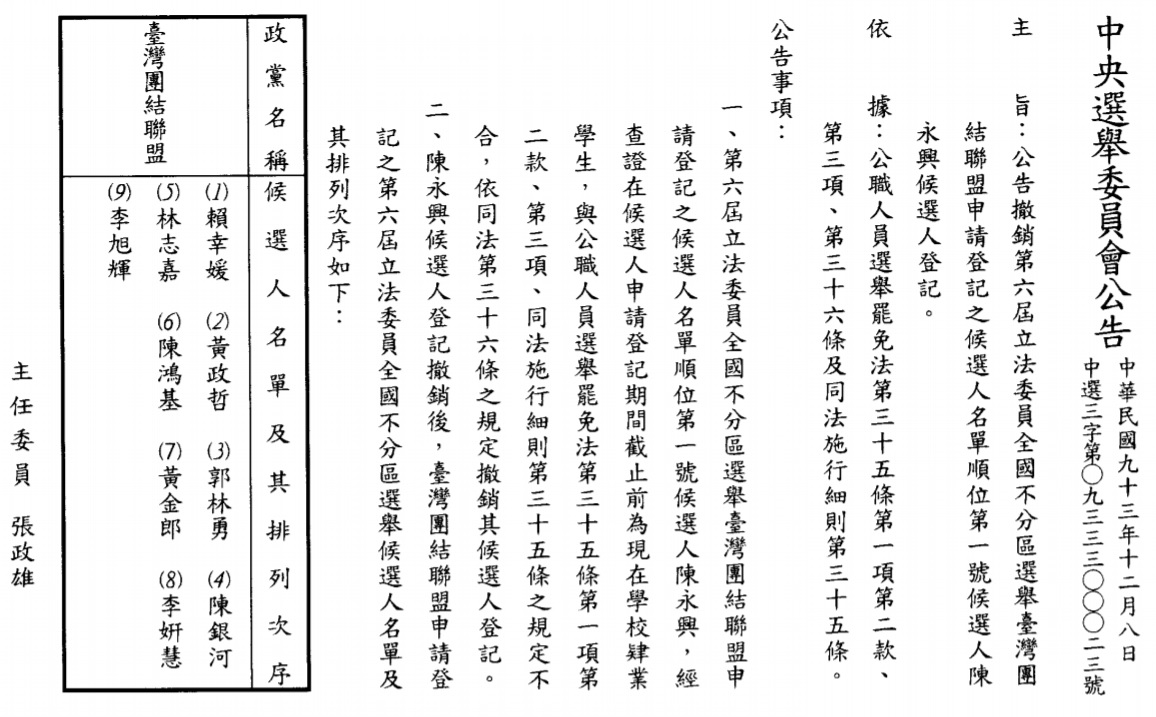
最後促成修法的契機在於,2004年底的第6屆立委選舉,列名台聯不分區首位的陳永興,因尚具高雄醫學大學醫學研究所博士生身分,遭到中選會撤銷資格。

朝野各黨團因而意識到修法的集迫性,於是由民進黨團、國民黨團、親民黨團、台聯黨團、無盟黨團僅就此條共同提案,趕於第5屆立委即將卸任的2005年1月下旬火速通過修法,正式取消學生不得參選之規定。終於讓這項不合理的限制,在解嚴17年後才正式走入歷史。
